
醇脱氢催化剂可应用于烷烃脱氢到烯烃及低温环己醇脱氢到环己酮,转化率高。
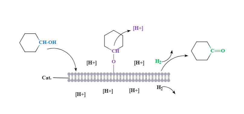
脱氢反应是有机化合物在高温及催化剂存在下脱去氢的反应,是加氢的逆反应。脱氢反应物接触到催化剂,氢原子被激活游离出来,同时反应物与催化剂结合,游离氢再作用于相邻的氢原子,使其脱除形成H2分子,同时形成双键,完成脱氢。脱氢反应机理如下:
| 项目 | 参数 |
| 主要成分 | CuO/SiO2, CuO/ZnO/Al2O3 |
| 形状 | 圆柱或条状 |
| 转化率(环己醇) | 50% |
| 选择性(环己酮) | 99.5% |
| 寿命 (环己酮) | 3-5年 |
环己醇脱氢制环己酮,脂肪醇脱氢到脂肪醛、丁二醇脱氢制γ-丁内酯,仲丁醇脱氢制甲乙酮(MEK),MIBC脱氢到MIBK等