
2,5-二氨基苯甲腈是一种重要的染料化工中间体,作为高档氧化剂的偶联体组分,与常用的主要中间体组分复配,经过氧化偶联可产生出头毛带有从深蓝色到玫瑰色的丰富色调。具有色牢度高,极好的仿真性、良好的水溶性,存储稳定性高和没有毒性及皮肤过敏等问题,是目前国际市场最具有发展前景的品种之一。
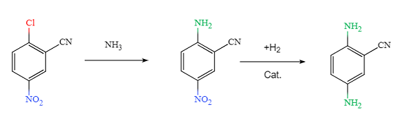
2,5-二氨基苯甲腈是以2-氯-5-硝基苯甲腈为原料,经氨解、还原得到。氨解可以采用通氨气、滴加氨水、加压等方式进行,加压氨解收率高,精制方便,所以采取加压氨解。还原传统方法是铁粉还原,此方法生产过程中排放大量的铁泥及废水,不易处理,造成严重的环境污染。新路线采用催化加氢工艺,高效节能绿色环保,大大降低污染物排放。该路线操作简便、工艺环保、产物纯度高、收率高,反应总收率达92.6%。
2-氯-5-硝基苯甲腈的氨解是典型的亲核取代反应,主要受温度和反应物浓度影响较大。
2-氨基-5-硝基苯甲腈的加氢属于选择性加氢,需要对硝基进行加氢,同时氰基也是比较容易加氢的官能团,虽然加氢活性会受邻位氨基影响,但仍需要催化剂具有较高的选择性。
迅凯催化RaneCAT系列硝基加氢专用催化剂,具有高活性高强度等特点,针对硝基加氢有非常高的选择性,已成功应用于H酸、还原物等染料中间体的催化加氢生产,在工业应用中获得良好口碑。此款催化剂还可应用于邻氯苯胺、3,4-二氯苯胺、三氟甲基苯胺等产品。